| 常用工業離心泵簡介及主要性能參數 | ||||||||||||||||
| 發布者:www.microwants.net.cn 發布時間:11-08-19 閱讀:次 |
||||||||||||||||
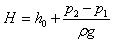
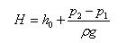
離心泵一般由電動機帶動,在啟動泵前,泵體及吸入管路內充滿液體。當葉輪高速旋轉時,葉輪帶動葉片間的液體一道旋轉,由于離心力的作用,液體從葉輪中心被甩向葉輪外緣(流速可增大至15~25m/s),動能也隨之增加。當液體進入泵殼后,由于蝸殼形泵殼中的流道逐漸擴大,液體流速逐漸降低,一部分動能轉變為靜壓能,于是液體以較高的壓強沿排出口流出。與此同時,葉輪中心處由于液體被甩出而形成一定的真空,而液面處的壓強Pa比葉輪中心處要高,因此,吸入管路的液體在壓差作用下進入泵內。葉輪不停旋轉,液體也連續不斷的被吸入和壓出。由于離心泵之所以能夠輸送液體,主要靠離心力的作用,故稱為離心泵。 一、流量Q(m3/h或m3/s) 離心泵的流量即為離心泵的送液能力,是指單位時間內泵所輸送的液體體積。 泵的流量取決于泵的結構尺寸(主要為葉輪的直徑與葉片的寬度)和轉速等。操作時,泵實際所能輸送的液體量還與管路阻力及所需壓力有關。 二、揚程H(m) 離心泵的揚程又稱為泵的壓頭,是指單體重量流體經泵所獲得的能量。 泵的揚程大小取決于泵的結構(如葉輪直徑的大小,葉片的彎曲情況等、轉速。目前對泵的壓頭尚不能從理論上作出精確的計算,一般用實驗方法測定。 泵的揚程可同實驗測定,即在泵進口處裝一真空表,出口處裝一壓力表,若不計兩表截面上的動能差(即Δu2/2g=0),不計兩表截面間的能量損失(即∑f1-2=0),則泵的揚程可用下式計算
注意以下兩點: (1)式中p2為泵出口處壓力表的讀數(Pa);p1為泵進口處真空表的讀數(負表壓值,Pa)。 (2)注意區分離心泵的揚程(壓頭)和升揚高度兩個不同的概念。 揚程是指單位重量流體經泵后獲得的能量。在一管路系統中兩截面間(包括泵)列出柏努利方程式并整理可得
式中H為揚程,而升揚高度僅指Δz一項。 例2-1現測定一臺離心泵的揚程。工質為20℃清水,測得流量為60m/h時,泵進口真空表讀數為-0.02Mpa,出口壓力表讀數為0.47Mpa(表壓),已知兩表間垂直距離為0.45m若泵的吸入管與壓出管管徑相同,試計算該泵的揚程。 解由式 查20℃,
h=0.45m p=0.47Mpa=4.7*10Pa p=-0.02Mpa=-2*10Pa H=0.45+ 三、效率 泵在輸送液體過程中,軸功率大于排送到管道中的液體從葉輪處獲得的功率,因為容積損失、水力損失物機械損失都要消耗掉一部分功率,而離心泵的效率即反映泵對外加能量的利用程度。 泵的效率值與泵的類型、大小、結構、制造精度和輸送液體的性質有關。大型泵效率值高些,小型泵效率值低些。 四、軸功率N(W或kW) 泵的軸功率即泵軸所需功率,其值可依泵的有效功率Ne和效率η計算,即
|
||||||||||||||||
|
||||||||||||||||
| 相關產品:臥式不銹鋼離心泵 化工自吸泵 不銹鋼循環泵 防爆管道泵 鍋爐給水泵 不銹鋼管道泵 不銹鋼潛水排污泵 耐腐蝕化工泵 不銹鋼管道離心泵 防爆離心泵 襯氟離心泵 襯氟自吸泵 不銹鋼耐酸堿潛水泵 耐腐蝕排污泵 不銹鋼排污泵 不銹鋼自吸泵 隔膜計量泵 熱水潛水泵 熱水排污泵 耐高溫排污泵 電動插桶泵 耐高溫潛水泵 |


=50.5m